2.2 迭代與遞迴
在演算法中,重複執行某個任務是很常見的,它與複雜度分析息息相關。因此,在介紹時間複雜度和空間複雜度之前,我們先來了解如何在程式中實現重複執行任務,即兩種基本的程式控制結構:迭代、遞迴。
2.2.1 迭代
迭代(iteration)是一種重複執行某個任務的控制結構。在迭代中,程式會在滿足一定的條件下重複執行某段程式碼,直到這個條件不再滿足。
1. for 迴圈
for 迴圈是最常見的迭代形式之一,適合在預先知道迭代次數時使用。
以下函式基於 for 迴圈實現了求和 \(1 + 2 + \dots + n\) ,求和結果使用變數 res 記錄。需要注意的是,Python 中 range(a, b) 對應的區間是“左閉右開”的,對應的走訪範圍為 \(a, a + 1, \dots, b-1\) :
iteration.pydef for_loop(n: int) -> int:
"""for 迴圈"""
res = 0
# 迴圈求和 1, 2, ..., n-1, n
for i in range(1, n + 1):
res += i
return res
iteration.cpp/* for 迴圈 */
int forLoop(int n) {
int res = 0;
// 迴圈求和 1, 2, ..., n-1, n
for (int i = 1; i <= n; ++i) {
res += i;
}
return res;
}
iteration.java/* for 迴圈 */
int forLoop(int n) {
int res = 0;
// 迴圈求和 1, 2, ..., n-1, n
for (int i = 1; i <= n; i++) {
res += i;
}
return res;
}
iteration.cs/* for 迴圈 */
int ForLoop(int n) {
int res = 0;
// 迴圈求和 1, 2, ..., n-1, n
for (int i = 1; i <= n; i++) {
res += i;
}
return res;
}
iteration.go/* for 迴圈 */
func forLoop(n int) int {
res := 0
// 迴圈求和 1, 2, ..., n-1, n
for i := 1; i <= n; i++ {
res += i
}
return res
}
iteration.swift/* for 迴圈 */
func forLoop(n: Int) -> Int {
var res = 0
// 迴圈求和 1, 2, ..., n-1, n
for i in 1 ... n {
res += i
}
return res
}
iteration.js/* for 迴圈 */
function forLoop(n) {
let res = 0;
// 迴圈求和 1, 2, ..., n-1, n
for (let i = 1; i <= n; i++) {
res += i;
}
return res;
}
iteration.ts/* for 迴圈 */
function forLoop(n: number): number {
let res = 0;
// 迴圈求和 1, 2, ..., n-1, n
for (let i = 1; i <= n; i++) {
res += i;
}
return res;
}
iteration.dart/* for 迴圈 */
int forLoop(int n) {
int res = 0;
// 迴圈求和 1, 2, ..., n-1, n
for (int i = 1; i <= n; i++) {
res += i;
}
return res;
}
iteration.rs/* for 迴圈 */
fn for_loop(n: i32) -> i32 {
let mut res = 0;
// 迴圈求和 1, 2, ..., n-1, n
for i in 1..=n {
res += i;
}
res
}
iteration.c/* for 迴圈 */
int forLoop(int n) {
int res = 0;
// 迴圈求和 1, 2, ..., n-1, n
for (int i = 1; i <= n; i++) {
res += i;
}
return res;
}
iteration.kt/* for 迴圈 */
fun forLoop(n: Int): Int {
var res = 0
// 迴圈求和 1, 2, ..., n-1, n
for (i in 1..n) {
res += i
}
return res
}
iteration.rb### for 迴圈 ###
def for_loop(n)
res = 0
# 迴圈求和 1, 2, ..., n-1, n
for i in 1..n
res += i
end
res
end
視覺化執行
圖 2-1 是該求和函式的流程框圖。

圖 2-1 求和函式的流程框圖
此求和函式的操作數量與輸入資料大小 \(n\) 成正比,或者說成“線性關係”。實際上,時間複雜度描述的就是這個“線性關係”。相關內容將會在下一節中詳細介紹。
2. while 迴圈
與 for 迴圈類似,while 迴圈也是一種實現迭代的方法。在 while 迴圈中,程式每輪都會先檢查條件,如果條件為真,則繼續執行,否則就結束迴圈。
下面我們用 while 迴圈來實現求和 \(1 + 2 + \dots + n\) :
iteration.pydef while_loop(n: int) -> int:
"""while 迴圈"""
res = 0
i = 1 # 初始化條件變數
# 迴圈求和 1, 2, ..., n-1, n
while i <= n:
res += i
i += 1 # 更新條件變數
return res
iteration.cpp/* while 迴圈 */
int whileLoop(int n) {
int res = 0;
int i = 1; // 初始化條件變數
// 迴圈求和 1, 2, ..., n-1, n
while (i <= n) {
res += i;
i++; // 更新條件變數
}
return res;
}
iteration.java/* while 迴圈 */
int whileLoop(int n) {
int res = 0;
int i = 1; // 初始化條件變數
// 迴圈求和 1, 2, ..., n-1, n
while (i <= n) {
res += i;
i++; // 更新條件變數
}
return res;
}
iteration.cs/* while 迴圈 */
int WhileLoop(int n) {
int res = 0;
int i = 1; // 初始化條件變數
// 迴圈求和 1, 2, ..., n-1, n
while (i <= n) {
res += i;
i += 1; // 更新條件變數
}
return res;
}
iteration.go/* while 迴圈 */
func whileLoop(n int) int {
res := 0
// 初始化條件變數
i := 1
// 迴圈求和 1, 2, ..., n-1, n
for i <= n {
res += i
// 更新條件變數
i++
}
return res
}
iteration.swift/* while 迴圈 */
func whileLoop(n: Int) -> Int {
var res = 0
var i = 1 // 初始化條件變數
// 迴圈求和 1, 2, ..., n-1, n
while i <= n {
res += i
i += 1 // 更新條件變數
}
return res
}
iteration.js/* while 迴圈 */
function whileLoop(n) {
let res = 0;
let i = 1; // 初始化條件變數
// 迴圈求和 1, 2, ..., n-1, n
while (i <= n) {
res += i;
i++; // 更新條件變數
}
return res;
}
iteration.ts/* while 迴圈 */
function whileLoop(n: number): number {
let res = 0;
let i = 1; // 初始化條件變數
// 迴圈求和 1, 2, ..., n-1, n
while (i <= n) {
res += i;
i++; // 更新條件變數
}
return res;
}
iteration.dart/* while 迴圈 */
int whileLoop(int n) {
int res = 0;
int i = 1; // 初始化條件變數
// 迴圈求和 1, 2, ..., n-1, n
while (i <= n) {
res += i;
i++; // 更新條件變數
}
return res;
}
iteration.rs/* while 迴圈 */
fn while_loop(n: i32) -> i32 {
let mut res = 0;
let mut i = 1; // 初始化條件變數
// 迴圈求和 1, 2, ..., n-1, n
while i <= n {
res += i;
i += 1; // 更新條件變數
}
res
}
iteration.c/* while 迴圈 */
int whileLoop(int n) {
int res = 0;
int i = 1; // 初始化條件變數
// 迴圈求和 1, 2, ..., n-1, n
while (i <= n) {
res += i;
i++; // 更新條件變數
}
return res;
}
iteration.kt/* while 迴圈 */
fun whileLoop(n: Int): Int {
var res = 0
var i = 1 // 初始化條件變數
// 迴圈求和 1, 2, ..., n-1, n
while (i <= n) {
res += i
i++ // 更新條件變數
}
return res
}
iteration.rb### while 迴圈 ###
def while_loop(n)
res = 0
i = 1 # 初始化條件變數
# 迴圈求和 1, 2, ..., n-1, n
while i <= n
res += i
i += 1 # 更新條件變數
end
res
end
視覺化執行
while 迴圈比 for 迴圈的自由度更高。在 while 迴圈中,我們可以自由地設計條件變數的初始化和更新步驟。
例如在以下程式碼中,條件變數 \(i\) 每輪進行兩次更新,這種情況就不太方便用 for 迴圈實現:
iteration.pydef while_loop_ii(n: int) -> int:
"""while 迴圈(兩次更新)"""
res = 0
i = 1 # 初始化條件變數
# 迴圈求和 1, 4, 10, ...
while i <= n:
res += i
# 更新條件變數
i += 1
i *= 2
return res
iteration.cpp/* while 迴圈(兩次更新) */
int whileLoopII(int n) {
int res = 0;
int i = 1; // 初始化條件變數
// 迴圈求和 1, 4, 10, ...
while (i <= n) {
res += i;
// 更新條件變數
i++;
i *= 2;
}
return res;
}
iteration.java/* while 迴圈(兩次更新) */
int whileLoopII(int n) {
int res = 0;
int i = 1; // 初始化條件變數
// 迴圈求和 1, 4, 10, ...
while (i <= n) {
res += i;
// 更新條件變數
i++;
i *= 2;
}
return res;
}
iteration.cs/* while 迴圈(兩次更新) */
int WhileLoopII(int n) {
int res = 0;
int i = 1; // 初始化條件變數
// 迴圈求和 1, 4, 10, ...
while (i <= n) {
res += i;
// 更新條件變數
i += 1;
i *= 2;
}
return res;
}
iteration.go/* while 迴圈(兩次更新) */
func whileLoopII(n int) int {
res := 0
// 初始化條件變數
i := 1
// 迴圈求和 1, 4, 10, ...
for i <= n {
res += i
// 更新條件變數
i++
i *= 2
}
return res
}
iteration.swift/* while 迴圈(兩次更新) */
func whileLoopII(n: Int) -> Int {
var res = 0
var i = 1 // 初始化條件變數
// 迴圈求和 1, 4, 10, ...
while i <= n {
res += i
// 更新條件變數
i += 1
i *= 2
}
return res
}
iteration.js/* while 迴圈(兩次更新) */
function whileLoopII(n) {
let res = 0;
let i = 1; // 初始化條件變數
// 迴圈求和 1, 4, 10, ...
while (i <= n) {
res += i;
// 更新條件變數
i++;
i *= 2;
}
return res;
}
iteration.ts/* while 迴圈(兩次更新) */
function whileLoopII(n: number): number {
let res = 0;
let i = 1; // 初始化條件變數
// 迴圈求和 1, 4, 10, ...
while (i <= n) {
res += i;
// 更新條件變數
i++;
i *= 2;
}
return res;
}
iteration.dart/* while 迴圈(兩次更新) */
int whileLoopII(int n) {
int res = 0;
int i = 1; // 初始化條件變數
// 迴圈求和 1, 4, 10, ...
while (i <= n) {
res += i;
// 更新條件變數
i++;
i *= 2;
}
return res;
}
iteration.rs/* while 迴圈(兩次更新) */
fn while_loop_ii(n: i32) -> i32 {
let mut res = 0;
let mut i = 1; // 初始化條件變數
// 迴圈求和 1, 4, 10, ...
while i <= n {
res += i;
// 更新條件變數
i += 1;
i *= 2;
}
res
}
iteration.c/* while 迴圈(兩次更新) */
int whileLoopII(int n) {
int res = 0;
int i = 1; // 初始化條件變數
// 迴圈求和 1, 4, 10, ...
while (i <= n) {
res += i;
// 更新條件變數
i++;
i *= 2;
}
return res;
}
iteration.kt/* while 迴圈(兩次更新) */
fun whileLoopII(n: Int): Int {
var res = 0
var i = 1 // 初始化條件變數
// 迴圈求和 1, 4, 10, ...
while (i <= n) {
res += i
// 更新條件變數
i++
i *= 2
}
return res
}
iteration.rb### while 迴圈(兩次更新)###
def while_loop_ii(n)
res = 0
i = 1 # 初始化條件變數
# 迴圈求和 1, 4, 10, ...
while i <= n
res += i
# 更新條件變數
i += 1
i *= 2
end
res
end
視覺化執行
總的來說,for 迴圈的程式碼更加緊湊,while 迴圈更加靈活,兩者都可以實現迭代結構。選擇使用哪一個應該根據特定問題的需求來決定。
3. 巢狀迴圈
我們可以在一個迴圈結構內巢狀另一個迴圈結構,下面以 for 迴圈為例:
iteration.pydef nested_for_loop(n: int) -> str:
"""雙層 for 迴圈"""
res = ""
# 迴圈 i = 1, 2, ..., n-1, n
for i in range(1, n + 1):
# 迴圈 j = 1, 2, ..., n-1, n
for j in range(1, n + 1):
res += f"({i}, {j}), "
return res
iteration.cpp/* 雙層 for 迴圈 */
string nestedForLoop(int n) {
ostringstream res;
// 迴圈 i = 1, 2, ..., n-1, n
for (int i = 1; i <= n; ++i) {
// 迴圈 j = 1, 2, ..., n-1, n
for (int j = 1; j <= n; ++j) {
res << "(" << i << ", " << j << "), ";
}
}
return res.str();
}
iteration.java/* 雙層 for 迴圈 */
String nestedForLoop(int n) {
StringBuilder res = new StringBuilder();
// 迴圈 i = 1, 2, ..., n-1, n
for (int i = 1; i <= n; i++) {
// 迴圈 j = 1, 2, ..., n-1, n
for (int j = 1; j <= n; j++) {
res.append("(" + i + ", " + j + "), ");
}
}
return res.toString();
}
iteration.cs/* 雙層 for 迴圈 */
string NestedForLoop(int n) {
StringBuilder res = new();
// 迴圈 i = 1, 2, ..., n-1, n
for (int i = 1; i <= n; i++) {
// 迴圈 j = 1, 2, ..., n-1, n
for (int j = 1; j <= n; j++) {
res.Append($"({i}, {j}), ");
}
}
return res.ToString();
}
iteration.go/* 雙層 for 迴圈 */
func nestedForLoop(n int) string {
res := ""
// 迴圈 i = 1, 2, ..., n-1, n
for i := 1; i <= n; i++ {
for j := 1; j <= n; j++ {
// 迴圈 j = 1, 2, ..., n-1, n
res += fmt.Sprintf("(%d, %d), ", i, j)
}
}
return res
}
iteration.swift/* 雙層 for 迴圈 */
func nestedForLoop(n: Int) -> String {
var res = ""
// 迴圈 i = 1, 2, ..., n-1, n
for i in 1 ... n {
// 迴圈 j = 1, 2, ..., n-1, n
for j in 1 ... n {
res.append("(\(i), \(j)), ")
}
}
return res
}
iteration.js/* 雙層 for 迴圈 */
function nestedForLoop(n) {
let res = '';
// 迴圈 i = 1, 2, ..., n-1, n
for (let i = 1; i <= n; i++) {
// 迴圈 j = 1, 2, ..., n-1, n
for (let j = 1; j <= n; j++) {
res += `(${i}, ${j}), `;
}
}
return res;
}
iteration.ts/* 雙層 for 迴圈 */
function nestedForLoop(n: number): string {
let res = '';
// 迴圈 i = 1, 2, ..., n-1, n
for (let i = 1; i <= n; i++) {
// 迴圈 j = 1, 2, ..., n-1, n
for (let j = 1; j <= n; j++) {
res += `(${i}, ${j}), `;
}
}
return res;
}
iteration.dart/* 雙層 for 迴圈 */
String nestedForLoop(int n) {
String res = "";
// 迴圈 i = 1, 2, ..., n-1, n
for (int i = 1; i <= n; i++) {
// 迴圈 j = 1, 2, ..., n-1, n
for (int j = 1; j <= n; j++) {
res += "($i, $j), ";
}
}
return res;
}
iteration.rs/* 雙層 for 迴圈 */
fn nested_for_loop(n: i32) -> String {
let mut res = vec![];
// 迴圈 i = 1, 2, ..., n-1, n
for i in 1..=n {
// 迴圈 j = 1, 2, ..., n-1, n
for j in 1..=n {
res.push(format!("({}, {}), ", i, j));
}
}
res.join("")
}
iteration.c/* 雙層 for 迴圈 */
char *nestedForLoop(int n) {
// n * n 為對應點數量,"(i, j), " 對應字串長最大為 6+10*2,加上最後一個空字元 \0 的額外空間
int size = n * n * 26 + 1;
char *res = malloc(size * sizeof(char));
// 迴圈 i = 1, 2, ..., n-1, n
for (int i = 1; i <= n; i++) {
// 迴圈 j = 1, 2, ..., n-1, n
for (int j = 1; j <= n; j++) {
char tmp[26];
snprintf(tmp, sizeof(tmp), "(%d, %d), ", i, j);
strncat(res, tmp, size - strlen(res) - 1);
}
}
return res;
}
iteration.kt/* 雙層 for 迴圈 */
fun nestedForLoop(n: Int): String {
val res = StringBuilder()
// 迴圈 i = 1, 2, ..., n-1, n
for (i in 1..n) {
// 迴圈 j = 1, 2, ..., n-1, n
for (j in 1..n) {
res.append(" ($i, $j), ")
}
}
return res.toString()
}
iteration.rb### 雙層 for 迴圈 ###
def nested_for_loop(n)
res = ""
# 迴圈 i = 1, 2, ..., n-1, n
for i in 1..n
# 迴圈 j = 1, 2, ..., n-1, n
for j in 1..n
res += "(#{i}, #{j}), "
end
end
res
end
視覺化執行
圖 2-2 是該巢狀迴圈的流程框圖。

圖 2-2 巢狀迴圈的流程框圖
在這種情況下,函式的操作數量與 \(n^2\) 成正比,或者說演算法執行時間和輸入資料大小 \(n\) 成“平方關係”。
我們可以繼續新增巢狀迴圈,每一次巢狀都是一次“升維”,將會使時間複雜度提高至“立方關係”“四次方關係”,以此類推。
2.2.2 遞迴
遞迴(recursion)是一種演算法策略,透過函式呼叫自身來解決問題。它主要包含兩個階段。
- 遞:程式不斷深入地呼叫自身,通常傳入更小或更簡化的參數,直到達到“終止條件”。
- 迴:觸發“終止條件”後,程式從最深層的遞迴函式開始逐層返回,匯聚每一層的結果。
而從實現的角度看,遞迴程式碼主要包含三個要素。
- 終止條件:用於決定什麼時候由“遞”轉“迴”。
- 遞迴呼叫:對應“遞”,函式呼叫自身,通常輸入更小或更簡化的參數。
- 返回結果:對應“迴”,將當前遞迴層級的結果返回至上一層。
觀察以下程式碼,我們只需呼叫函式 recur(n) ,就可以完成 \(1 + 2 + \dots + n\) 的計算:
視覺化執行
圖 2-3 展示了該函式的遞迴過程。

圖 2-3 求和函式的遞迴過程
雖然從計算角度看,迭代與遞迴可以得到相同的結果,但它們代表了兩種完全不同的思考和解決問題的範式。
- 迭代:“自下而上”地解決問題。從最基礎的步驟開始,然後不斷重複或累加這些步驟,直到任務完成。
- 遞迴:“自上而下”地解決問題。將原問題分解為更小的子問題,這些子問題和原問題具有相同的形式。接下來將子問題繼續分解為更小的子問題,直到基本情況時停止(基本情況的解是已知的)。
以上述求和函式為例,設問題 \(f(n) = 1 + 2 + \dots + n\) 。
- 迭代:在迴圈中模擬求和過程,從 \(1\) 走訪到 \(n\) ,每輪執行求和操作,即可求得 \(f(n)\) 。
- 遞迴:將問題分解為子問題 \(f(n) = n + f(n-1)\) ,不斷(遞迴地)分解下去,直至基本情況 \(f(1) = 1\) 時終止。
1. 呼叫堆疊
遞迴函式每次呼叫自身時,系統都會為新開啟的函式分配記憶體,以儲存區域性變數、呼叫位址和其他資訊等。這將導致兩方面的結果。
- 函式的上下文資料都儲存在稱為“堆疊幀空間”的記憶體區域中,直至函式返回後才會被釋放。因此,遞迴通常比迭代更加耗費記憶體空間。
- 遞迴呼叫函式會產生額外的開銷。因此遞迴通常比迴圈的時間效率更低。
如圖 2-4 所示,在觸發終止條件前,同時存在 \(n\) 個未返回的遞迴函式,遞迴深度為 \(n\) 。

圖 2-4 遞迴呼叫深度
在實際中,程式語言允許的遞迴深度通常是有限的,過深的遞迴可能導致堆疊溢位錯誤。
2. 尾遞迴
有趣的是,如果函式在返回前的最後一步才進行遞迴呼叫,則該函式可以被編譯器或直譯器最佳化,使其在空間效率上與迭代相當。這種情況被稱為尾遞迴(tail recursion)。
- 普通遞迴:當函式返回到上一層級的函式後,需要繼續執行程式碼,因此系統需要儲存上一層呼叫的上下文。
- 尾遞迴:遞迴呼叫是函式返回前的最後一個操作,這意味著函式返回到上一層級後,無須繼續執行其他操作,因此系統無須儲存上一層函式的上下文。
以計算 \(1 + 2 + \dots + n\) 為例,我們可以將結果變數 res 設為函式參數,從而實現尾遞迴:
recursion.pydef tail_recur(n, res):
"""尾遞迴"""
# 終止條件
if n == 0:
return res
# 尾遞迴呼叫
return tail_recur(n - 1, res + n)
recursion.cpp/* 尾遞迴 */
int tailRecur(int n, int res) {
// 終止條件
if (n == 0)
return res;
// 尾遞迴呼叫
return tailRecur(n - 1, res + n);
}
recursion.java/* 尾遞迴 */
int tailRecur(int n, int res) {
// 終止條件
if (n == 0)
return res;
// 尾遞迴呼叫
return tailRecur(n - 1, res + n);
}
recursion.cs/* 尾遞迴 */
int TailRecur(int n, int res) {
// 終止條件
if (n == 0)
return res;
// 尾遞迴呼叫
return TailRecur(n - 1, res + n);
}
recursion.go/* 尾遞迴 */
func tailRecur(n int, res int) int {
// 終止條件
if n == 0 {
return res
}
// 尾遞迴呼叫
return tailRecur(n-1, res+n)
}
recursion.swift/* 尾遞迴 */
func tailRecur(n: Int, res: Int) -> Int {
// 終止條件
if n == 0 {
return res
}
// 尾遞迴呼叫
return tailRecur(n: n - 1, res: res + n)
}
recursion.js/* 尾遞迴 */
function tailRecur(n, res) {
// 終止條件
if (n === 0) return res;
// 尾遞迴呼叫
return tailRecur(n - 1, res + n);
}
recursion.ts/* 尾遞迴 */
function tailRecur(n: number, res: number): number {
// 終止條件
if (n === 0) return res;
// 尾遞迴呼叫
return tailRecur(n - 1, res + n);
}
recursion.dart/* 尾遞迴 */
int tailRecur(int n, int res) {
// 終止條件
if (n == 0) return res;
// 尾遞迴呼叫
return tailRecur(n - 1, res + n);
}
recursion.rs/* 尾遞迴 */
fn tail_recur(n: i32, res: i32) -> i32 {
// 終止條件
if n == 0 {
return res;
}
// 尾遞迴呼叫
tail_recur(n - 1, res + n)
}
recursion.c/* 尾遞迴 */
int tailRecur(int n, int res) {
// 終止條件
if (n == 0)
return res;
// 尾遞迴呼叫
return tailRecur(n - 1, res + n);
}
recursion.kt/* 尾遞迴 */
tailrec fun tailRecur(n: Int, res: Int): Int {
// 新增 tailrec 關鍵詞,以開啟尾遞迴最佳化
// 終止條件
if (n == 0)
return res
// 尾遞迴呼叫
return tailRecur(n - 1, res + n)
}
recursion.rb### 尾遞迴 ###
def tail_recur(n, res)
# 終止條件
return res if n == 0
# 尾遞迴呼叫
tail_recur(n - 1, res + n)
end
視覺化執行
尾遞迴的執行過程如圖 2-5 所示。對比普通遞迴和尾遞迴,兩者的求和操作的執行點是不同的。
- 普通遞迴:求和操作是在“迴”的過程中執行的,每層返回後都要再執行一次求和操作。
- 尾遞迴:求和操作是在“遞”的過程中執行的,“迴”的過程只需層層返回。

圖 2-5 尾遞迴過程
Tip
請注意,許多編譯器或直譯器並不支持尾遞迴最佳化。例如,Python 預設不支持尾遞迴最佳化,因此即使函式是尾遞迴形式,仍然可能會遇到堆疊溢位問題。
3. 遞迴樹
當處理與“分治”相關的演算法問題時,遞迴往往比迭代的思路更加直觀、程式碼更加易讀。以“費波那契數列”為例。
Question
給定一個費波那契數列 \(0, 1, 1, 2, 3, 5, 8, 13, \dots\) ,求該數列的第 \(n\) 個數字。
設費波那契數列的第 \(n\) 個數字為 \(f(n)\) ,易得兩個結論。
- 數列的前兩個數字為 \(f(1) = 0\) 和 \(f(2) = 1\) 。
- 數列中的每個數字是前兩個數字的和,即 \(f(n) = f(n - 1) + f(n - 2)\) 。
按照遞推關係進行遞迴呼叫,將前兩個數字作為終止條件,便可寫出遞迴程式碼。呼叫 fib(n) 即可得到費波那契數列的第 \(n\) 個數字:
recursion.pydef fib(n: int) -> int:
"""費波那契數列:遞迴"""
# 終止條件 f(1) = 0, f(2) = 1
if n == 1 or n == 2:
return n - 1
# 遞迴呼叫 f(n) = f(n-1) + f(n-2)
res = fib(n - 1) + fib(n - 2)
# 返回結果 f(n)
return res
recursion.cpp/* 費波那契數列:遞迴 */
int fib(int n) {
// 終止條件 f(1) = 0, f(2) = 1
if (n == 1 || n == 2)
return n - 1;
// 遞迴呼叫 f(n) = f(n-1) + f(n-2)
int res = fib(n - 1) + fib(n - 2);
// 返回結果 f(n)
return res;
}
recursion.java/* 費波那契數列:遞迴 */
int fib(int n) {
// 終止條件 f(1) = 0, f(2) = 1
if (n == 1 || n == 2)
return n - 1;
// 遞迴呼叫 f(n) = f(n-1) + f(n-2)
int res = fib(n - 1) + fib(n - 2);
// 返回結果 f(n)
return res;
}
recursion.cs/* 費波那契數列:遞迴 */
int Fib(int n) {
// 終止條件 f(1) = 0, f(2) = 1
if (n == 1 || n == 2)
return n - 1;
// 遞迴呼叫 f(n) = f(n-1) + f(n-2)
int res = Fib(n - 1) + Fib(n - 2);
// 返回結果 f(n)
return res;
}
recursion.go/* 費波那契數列:遞迴 */
func fib(n int) int {
// 終止條件 f(1) = 0, f(2) = 1
if n == 1 || n == 2 {
return n - 1
}
// 遞迴呼叫 f(n) = f(n-1) + f(n-2)
res := fib(n-1) + fib(n-2)
// 返回結果 f(n)
return res
}
recursion.swift/* 費波那契數列:遞迴 */
func fib(n: Int) -> Int {
// 終止條件 f(1) = 0, f(2) = 1
if n == 1 || n == 2 {
return n - 1
}
// 遞迴呼叫 f(n) = f(n-1) + f(n-2)
let res = fib(n: n - 1) + fib(n: n - 2)
// 返回結果 f(n)
return res
}
recursion.js/* 費波那契數列:遞迴 */
function fib(n) {
// 終止條件 f(1) = 0, f(2) = 1
if (n === 1 || n === 2) return n - 1;
// 遞迴呼叫 f(n) = f(n-1) + f(n-2)
const res = fib(n - 1) + fib(n - 2);
// 返回結果 f(n)
return res;
}
recursion.ts/* 費波那契數列:遞迴 */
function fib(n: number): number {
// 終止條件 f(1) = 0, f(2) = 1
if (n === 1 || n === 2) return n - 1;
// 遞迴呼叫 f(n) = f(n-1) + f(n-2)
const res = fib(n - 1) + fib(n - 2);
// 返回結果 f(n)
return res;
}
recursion.dart/* 費波那契數列:遞迴 */
int fib(int n) {
// 終止條件 f(1) = 0, f(2) = 1
if (n == 1 || n == 2) return n - 1;
// 遞迴呼叫 f(n) = f(n-1) + f(n-2)
int res = fib(n - 1) + fib(n - 2);
// 返回結果 f(n)
return res;
}
recursion.rs/* 費波那契數列:遞迴 */
fn fib(n: i32) -> i32 {
// 終止條件 f(1) = 0, f(2) = 1
if n == 1 || n == 2 {
return n - 1;
}
// 遞迴呼叫 f(n) = f(n-1) + f(n-2)
let res = fib(n - 1) + fib(n - 2);
// 返回結果
res
}
recursion.c/* 費波那契數列:遞迴 */
int fib(int n) {
// 終止條件 f(1) = 0, f(2) = 1
if (n == 1 || n == 2)
return n - 1;
// 遞迴呼叫 f(n) = f(n-1) + f(n-2)
int res = fib(n - 1) + fib(n - 2);
// 返回結果 f(n)
return res;
}
recursion.kt/* 費波那契數列:遞迴 */
fun fib(n: Int): Int {
// 終止條件 f(1) = 0, f(2) = 1
if (n == 1 || n == 2)
return n - 1
// 遞迴呼叫 f(n) = f(n-1) + f(n-2)
val res = fib(n - 1) + fib(n - 2)
// 返回結果 f(n)
return res
}
recursion.rb### 費波那契數列:遞迴 ###
def fib(n)
# 終止條件 f(1) = 0, f(2) = 1
return n - 1 if n == 1 || n == 2
# 遞迴呼叫 f(n) = f(n-1) + f(n-2)
res = fib(n - 1) + fib(n - 2)
# 返回結果 f(n)
res
end
視覺化執行
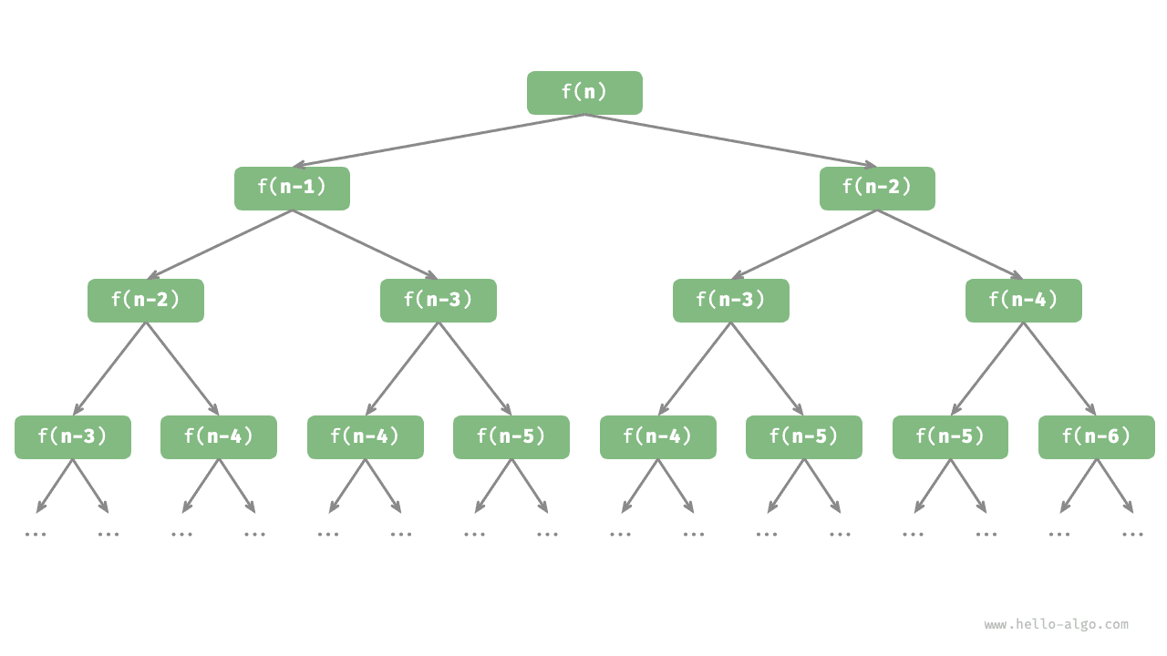
觀察以上程式碼,我們在函式內遞迴呼叫了兩個函式,這意味著從一個呼叫產生了兩個呼叫分支。如圖 2-6 所示,這樣不斷遞迴呼叫下去,最終將產生一棵層數為 \(n\) 的遞迴樹(recursion tree)。

圖 2-6 費波那契數列的遞迴樹
從本質上看,遞迴體現了“將問題分解為更小子問題”的思維範式,這種分治策略至關重要。
- 從演算法角度看,搜尋、排序、回溯、分治、動態規劃等許多重要演算法策略直接或間接地應用了這種思維方式。
- 從資料結構角度看,遞迴天然適合處理鏈結串列、樹和圖的相關問題,因為它們非常適合用分治思想進行分析。
2.2.3 兩者對比
總結以上內容,如表 2-1 所示,迭代和遞迴在實現、效能和適用性上有所不同。
表 2-1 迭代與遞迴特點對比
|
迭代 |
遞迴 |
| 實現方式 |
迴圈結構 |
函式呼叫自身 |
| 時間效率 |
效率通常較高,無函式呼叫開銷 |
每次函式呼叫都會產生開銷 |
| 記憶體使用 |
通常使用固定大小的記憶體空間 |
累積函式呼叫可能使用大量的堆疊幀空間 |
| 適用問題 |
適用於簡單迴圈任務,程式碼直觀、可讀性好 |
適用於子問題分解,如樹、圖、分治、回溯等,程式碼結構簡潔、清晰 |
Tip
如果感覺以下內容理解困難,可以在讀完“堆疊”章節後再來複習。
那麼,迭代和遞迴具有什麼內在關聯呢?以上述遞迴函式為例,求和操作在遞迴的“迴”階段進行。這意味著最初被呼叫的函式實際上是最後完成其求和操作的,這種工作機制與堆疊的“先入後出”原則異曲同工。
事實上,“呼叫堆疊”和“堆疊幀空間”這類遞迴術語已經暗示了遞迴與堆疊之間的密切關係。
- 遞:當函式被呼叫時,系統會在“呼叫堆疊”上為該函式分配新的堆疊幀,用於儲存函式的區域性變數、參數、返回位址等資料。
- 迴:當函式完成執行並返回時,對應的堆疊幀會被從“呼叫堆疊”上移除,恢復之前函式的執行環境。
因此,我們可以使用一個顯式的堆疊來模擬呼叫堆疊的行為,從而將遞迴轉化為迭代形式:
視覺化執行
觀察以上程式碼,當遞迴轉化為迭代後,程式碼變得更加複雜了。儘管迭代和遞迴在很多情況下可以互相轉化,但不一定值得這樣做,有以下兩點原因。
- 轉化後的程式碼可能更加難以理解,可讀性更差。
- 對於某些複雜問題,模擬系統呼叫堆疊的行為可能非常困難。
總之,選擇迭代還是遞迴取決於特定問題的性質。在程式設計實踐中,權衡兩者的優劣並根據情境選擇合適的方法至關重要。